МИКАНИТОВЫЕ НАГРЕВАТЕЛИ
Николай Козлов
Технический специалист ООО «ИзолитПром»
Миканитовые нагреватели обеспечивает эффективную работу в условиях, где требуется прецизионный контроль температуры и компактность исполнения. Принцип работы этих устройств базируется на резистивном нагреве, при котором электрический ток проходит через проволоку с высоким сопротивлением, генерируя тепловую энергию, которая равномерно распределяется через слои миканита — спрессованной слюдяной бумаги, выполняющей функцию изолятора и теплопроводника одновременно. Несмотря на внешнее сходство с силиконовыми нагревательными элементами по принципу теплового действия, миканитовые ТЭНы демонстрируют существенные отличия в конструктивном исполнении, материалах и, что особенно важно, в диапазоне рабочих температур, достигающих 400-500°C в зависимости от типа используемой слюды.
Принцип работы миканитовых нагревателей
Принцип работы миканитовых нагревателей можно сравнить с тепловым действием силиконовых элементов нагрева. Конечно, несмотря на некую схожесть, конструктивные решения и сами материалы, входящие в состав данных устройств очень разняться. Миканитовые электронагреватели в основном можно встретить в промышленной сфере применения и здесь они отличаются некоторыми особенностями и характеристиками свойственными только им.
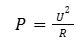
Физический процесс генерации тепла в миканитовых нагревателях основан на законе Джоуля-Ленца, согласно которому при прохождении электрического тока через проводник с сопротивлением выделяется тепловая энергия. Расчет мощности нагревателя производится по формуле:

где
P — мощность нагревателя (Вт),
U — рабочее напряжение (В),
R — сопротивление резистивного элемента (Ом).
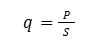
Эффективность работы нагревателя напрямую зависит от плотности теплового потока и качества контакта с нагреваемой поверхностью. Удельная мощность рассчитывается как отношение общей мощности к площади рабочей поверхности:

где
q — удельная мощность (Вт/см²),
S — площадь рабочей поверхности (см²).
Особенности миканитовых нагревателей
Миканитовые или слюдяные нагреватели относят к резистивным элементам, т.к. тепловая подача осуществляется непосредственно от проволоки высокого сопротивления. Миканит в данном случае выполняет функцию изолятора. Стоит отметить, что существуют некоторые элементы нагрева, у которых миканит выступает не только изолятором, но и корпусной оболочкой.
Особенности конструкции:
- Корпусная основа. Зачастую изготовлена из керамики или стали обладающими диэлектрическими свойствами. Толщина оболочки нагревателя составляет обычно не более 3 мм. Форма выпуска произвольная.
- Изоляционный слой. Изоляция состоит из слюдяной бумаги, которая размещается внутри защитного корпуса.
- Резистивный элемент. Выполняется из проволоки и предназначается для непосредственной выработки тепловой энергии. Конструктивно располагается во внутренней части нагревательного прибора вместе с миканитовым изолятором.
Приборы относятся к отдельной классификации нагревательных устройств промышленного назначения, изготавливаемых методом нанесения узора пасты проводящей ток при помощи трафаретной печати. В дальнейшем проводится термическая обработка для создания качественного изоляционного контура электроцепи сопротивления.
Виды миканитовых нагревателей ТЕРМОЭЛЕМЕНТ
Типы нагревателей с миканитовой изоляцией и сферы их применения
Очень часто плоские ТЭНы производят на основе миканитовойь и керамической изоляции и разделяют их на три вида:
- Керамические плоские ТЭНы (предназначаются для высокотемпературного нагрева).
- Металлические плоские нагреватели (направлены для средней температурной подачи).
- Миканитовые плоские устройства нагрева (для средней и низкой термической подачи).
Устройство плоского ТЭНа со слюдяным изолятором ТЕРМОЭЛЕМЕНТ
Керамические плоские ТЭНы
Керамические плоские нагреватели предназначены для работы в условиях экстремально высоких температур, достигающих 750-800°C. Конструктивно эти нагревательные элементы состоят из резистивной проволоки, изготовленной из сплавов на основе кантала или нихрома, которая заключена между слоями керамического изолятора, обладающего превосходными диэлектрическими характеристиками и термической стабильностью.
Металлические плоские нагреватели
Металлические плоские нагреватели обеспечивают работу в диапазоне средних температур от 200 до 450°C. Конструкция этих устройств предполагает использование корпуса из алюминия, нержавеющей стали марок AISI 304/316 или латуни, внутри которого размещается резистивный элемент, изолированный миканитовыми или комбинированными слоями, что обеспечивает надежную электрическую защиту при сохранении высокой теплопроводности металлического корпуса.
Миканитовые плоские устройства нагрева
У плоских ТЭНов со слюдяным изолятором рабочей является только одна сторона. Благодаря небольшой толщине они очень востребованы в нагреве плоских поверхностей промышленного оборудования. Отличаются нагреватели не только своей оснасткой и видом корпуса, но и разными типами выводов. Возможные варианты выводов плоских миканитовых ТЭНов:
- Контактная шпилька;
- Трехконтактная вилка;
- Клеммные колодки;
- Термостойкие провода.
Установка миканитового нагревателя проводится за счет специальных пазов или карманов. Применяют их для нагрева различных плоских поверхностей требующих нагревательного элемента с небольшой толщиной, например:
- Литейных форм;
- Клеевых машин;
- Пресс-форм;
- Медицинского и лабораторного оборудования;
- Стоек из мрамора или гранита.
Из миканита также изготавливают хомутовые нагреватели цельной конструкции и в виде полуколец. Данный тип нагревателей предназначается для обогрева цилиндрических поверхностей промышленного оборудования.
Миканитовые элементы нагрева служат для тепловой подачи на различные промышленные установки в виде:
- Литьевых и прессовочных форм;
- Экструзивного оборудования;
- Грануляторов;
- Термопластавтоматов;
- Патрубков и т.д.
Достоинства и недостатки электронагревателей с миканитовым изолятором
Как и каждое устройство нагрева миканитовые элементы имеют некий перечень достоинств, который не присущ аналогам и, конечно же, слабые стороны.
Плюсы миканитовых электронагревателей:
- Равномерная тепловая выработка по всей рабочей поверхности;
- Высокотемпературная выдержка;
- Высокий уровень жаропрочности и термической устойчивости;
- Супертонкая конструкция;
- Возможность изготовления в разной форме;
- Высокие показатели электросопротивления;
- Возможная оснастка термопарой;
- Отличная гибкость кольцевых элементов нагрева;
- Длительный период эксплуатации.
Минусы:
- Одна рабочая сторона. Вторая хоть и производит тепловую отдачу, но она находится на невысоком уровне и является недостаточной для качественного нагрева. При этом на противоположную сторону нагревателя зачастую устанавливают выводы, и располагают проводки термопары.
- Еще можно выделить, что миканитовый нагреватель, у которого слюда выполняет помимо изоляции функцию оболочки, характеризуется повышенной хрупкостью.
- Возможность изготовления миканитовых ТЭНов в разной форме и с различным количеством отверстий с одной стороны является положительным фактором в удобствах эксплуатации и непосредственного монтажа. Но, в свою очередь эти же отверстия снижают рабочую площадь и эффективную теплоотдачу.
- При нарушении плотности контакта нагревателя с объектом нагрева эффективность теплового действия значительно снизится и нагреватель в скором времени может перегреться и выйти из строя. Для исключения данного казуса рекомендовано соблюдать правила установки и эксплуатации и при необходимости прибегать к использованию термопасты.
- Негерметичное выполнение кольцевых нагревателей с миканитовым изолятором. В условиях повышенной влажности такие приборы использовать не рекомендуется, но попадание незначительного количества воды на устройство не нанесет большого ущерба из-за наличия стального корпуса.
Миканитовые нагреватели от компании ТЕРМОЭЛЕМЕНТ